13+ Ipcc Sea Level Rise PNG

Modified from ipcc (intergovernmental panel on climate change), 2007.

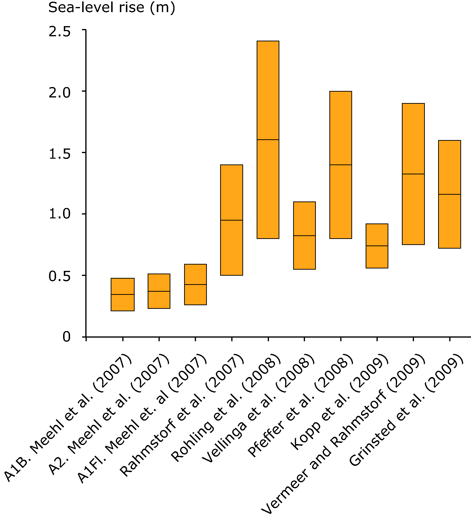
13+ Ipcc Sea Level Rise PNG. It is clear that sea levels are rising, but how much they will rise by 2100 is a matter of ongoing debate, with no clear answers. Sea levels are rising and will continue to rise for centuries to come according to the ipcc's special report on the ocean and cryosphere in a changing what the ipcc projections do (and don't) tell us about sea level rise.

Projected Change Of Global Mean Sea Level European Environment Agency
Projected Change Of Global Mean Sea Level European Environment Agency from www.eea.europa.eu
Ipcc ar5 sea level rise for 4 different emissions scenarios. Some scientific conclusions have been so thoroughly examined and tested, and supported by so many independent observations and results, that their the intergovernmental panel on climate change (ipcc) is planning the release of their next assessment report in 20142. So far co2 emissions have been on the worst case path.

It is clear that sea levels are rising, but how much they will rise by 2100 is a matter of ongoing debate, with no clear answers.

Hawaii, guam, saipan, american samoa, puerto rico, and. Current sea level rise is about 3 mm/year worldwide. Nationally, sea levels have risen 6.5 inches since 1950. Sea level could rise higher than current estimates by 2100 if climate change is unchallenged, according to a new assessment.